当前位置: 网站首页 / 旧栏目 / 阜阳三中教学教研 / 化学组 / 学科介绍

化学党说端午——粽子的化学组成是个啥?

发布时间:2018-06-21 04:17 浏览:6611
【字体大小:

化学党说端午——粽子的化学组成是个啥?


碱粽,又称碱水粽,俗作粳粽,是一种米粒稍呈粘糊状,口感近似粿的粽子。一般不包馅,本身没有味道,多沾白糖食用;亦有包红豆泥作馅者,不必沾糖即可直接食用。

端午

古时候的碱粽,系添加硼砂以获致粘糊效果,并避免粘住粽叶。但因硼砂对人体有害,所以现今多以碱粽油(或称碱粽水)、碱粽粉或三偏磷酸钠取代。碱粽油(粉)系以碳酸钠、碳酸钾制成,均为碱,具有腐蚀性,如不小心直接食用,对人体会造成伤害。以稻草梗烧成灰,溶于水中,等待沉淀,便可以得到天然生物碱的碱水。另外「粳粽」的粳,其实就是碱这个字的台语发音的文字化。[来自维基百科]

今天是端午节,想必许多人都吃了粽子。炎热的天气,难免想起小时候的端午节最爱吃的粳粽。我看过母亲把一大盆的糯米用水浸泡,然后放入一种粉状的东西,只要一点点就够了,与糯米搅拌在一起,包到竹叶中。母亲说米不能放满,否则煮熟时,糯米会膨胀而漏出来。然后放入水中煮熟,冷却后放在冰箱冰凉,就变成小巧晶透又冰冰凉凉的粳粽(见图1 )。

吃粳粽的时候,可以沾上一层厚厚的砂糖,也可以拼命地沾糖浆大吃,甚至有时奢侈地淋上一大匙蜂蜜,那是难忘的人生幸福(见图2 )。我记得母亲说那种粉叫做「粳粉」。儿时的我好奇地问过母亲为什么糯米会变成透明的粳粽,母亲说是因为加入「粳粉」。其实「粳粉」的成分的确是让糯米变成透明的关键。闽南语中说的「粳粉」就是碱粉,闽南语发音的「粳粽」就是「碱粽」。但是,为什么加入粳粉,糯米就会变成晶透的碱粽?粳粉是什么成分?

图1 :小巧的粳粽

当今普遍的粳粽做法

根据老一辈的说法还有笔者在市场的询问,目前为了省时省工,已经很少采用古法制作碱粽。当今粳粽的做法是先将糯米浸泡一或半小时,加上碱粉搅拌均匀后,放着约十二小时才可开始用粽叶包裹,米量约七分满,然后用竹叶将米包裹成粽子,用棉绳绑紧。但是要注意竹叶中不可以放满米,以免因为米煮熟后体积膨胀而挤出来。煮沸一大锅水,滴入少许沙拉油,放入碱粽,水要盖过粽子,以小火煮三至四小时,熄火再焖1 小时。捞起粽子,让粽子变凉,放到冰箱冷藏至冰凉就可以吃了。

图2 :搭配蜂蜜享用晶透冰凉的粳粽

粳粉成份与粳粽相关的化学反应

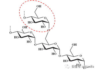
葡萄糖分子互相「手拉手」(α -键)构成淀粉分子。但因为葡萄糖分子结合的构造不同,淀粉可分为直链淀粉和支链淀粉。糯米的淀粉有较多的支链淀粉分子结构(见图3 )。支链淀粉子与支链淀粉子的OH 基彼此之间会形成许多分子内氢键,因而互相吸引。因此,相较一般的米饭,糯米饭的口感比较黏。

图3 :糯米淀粉的支链分子结构

粳粽的制作应用的是糯米的「淀粉糊化」反应。「淀粉糊化」又称为「淀粉 α 化」,是指淀粉在水中加热,淀粉颗粒吸水膨胀。未经加热的生淀粉颗粒由规则排列的结晶区及具有亲水性质但排列不规则的结晶区所组成。生淀粉经过加水加热后,规则排列的结晶区的构造被破坏,淀粉颗粒吸水,淀粉颗粒体积变大,同时黏度增加而造成膨润现象( swelling )。

如果继续加热到60 ℃ 与80 ℃之间,支链淀粉的双股螺旋结构会被解开,淀粉颗粒被破坏而形成半透明的胶体溶液,然后水分子再与葡萄糖分子以氢键结合,造成淀粉分子的体积膨胀甚至破裂,这个过程称为「淀粉糊化」。「淀粉 α 化」让大分子转换为小分子,更容易食用。

图4 :碱性的粳粉使糯米的淀粉快速膨润,糊化凝结,米粒形状被破坏而黏成一团,变成有黏弹口感的粳粽

另一种淀粉糊化的方法为「碱糊化」或「化学性糊化」。直接加入碱液如粳粉,在不加热条件下,能加速淀粉产生糊化作用。淀粉加入碱液可使淀粉分子分散( dispersion )和糊化,缩短淀粉的糊化分离时间。适量的碱可以使粉状在受热分解时,吸收水份,产生黏弹性。加入碱粉,可让淀粉分子结构破坏,发生糊化反应。糊化后的淀粉,由于多糖分子吸水膨胀以及氢键断裂,更容易被淀粉酶水解,进入人体后容易消化。

粳粽的原料是糯米,主要的成分是淀粉。碱性添加物能使糯米中的淀粉与蛋白质糊化凝结。因为米粒遇碱后进行糊化,淀粉会快速膨润,比上述用水浸渍所造成的膨胀程度更大,而且会变成一整块QQ 的物体,最后就不太看得到米粒的形状(见图4 和图5 )。做碱粽用的粳粉成分为碳酸钠、碳酸钾或氢氧化钠,都是强碱性的化学物质,具有腐蚀性,若直接食用,会严重地伤害人体。

图5 :碱性的粳粉使包红豆馅的碱粽糯米米粒和红豆颗粒形状被破坏而黏成一团

怀念粳粽最古老的做法

古早年代,人们用草木灰制作碱水,以稻草梗烧成灰,溶于水中,等待沉淀,便可以得到天然的碱水。在化学科技尚未普及的年代,台湾人做粳粽的过程非常繁琐。首先要做的准备工作就是制作碱水。先将硬木或稻草燃烧成木灰,在一个底部已经打洞的水桶的底部铺上一层晒干的干净稻草,倒入约半桶的木灰。

将此装有木灰的水桶放入另一个大的干净水桶中。倒入一些干净的雨水或泉水,确保水质是无污染的软水。外面的水桶可以收集从内桶过滤出来的碱水。将收集到的碱水再倒回内桶,每天至少反覆收集三遍,连续至少三天,最后所得到的水就是天然的碱水,含有一些碳酸钠和碳酸钾的成分,可用来制作碱粽。

适量的碱会使支链淀粉受热分解时,吸收水份,让淀粉有更好的黏弹性,口感有嚼劲。碱水也有防腐以及中和酸性的功用。只是使用天然的碱水所做成的碱粽,糯米的糊化程度较小,其内部还可以看到米粒和红豆的形状(见图 6 )。当今天然的碱水所做成的碱粽非常稀少,笔者四处寻访采用天然碱水做碱粽的店家,最终也只找到一家。

图6 :使用天然的碱水所做成的红豆碱粽内部还可以看到米粒和红豆的形状

使用粳(碱)粽油、粳(碱)粉务必千万小心,粳油、粳粉都属于强碱性,添加少许到糯米中,虽然对人体无立即的伤害,但若直接误食粳油、粳粉,其强碱会造成食道严重伤害。往年曾有民众误食「粳(碱)粽油」造成食道严重伤害的不幸事件。如果可以多花一些时间,采用古老的方法制作碱粽,应该是比较安全的。


扫一扫在手机打开当前页